Appearance
二叉排序树
二叉排序树又叫二叉查找树(Binary Search Tree,BST)是一种特殊的二叉树,具有以下性质:
结构特性: 对于树中的每个节点:
- 左子树中的所有节点的值小于该节点的值。
- 右子树中的所有节点的值大于该节点的值。
- 左右子树也分别是二叉查找树。
唯一性: 二叉查找树中不存在相同值的节点。
这些性质使得在二叉查找树中进行查找、插入和删除等操作的平均时间复杂度为 O(log n),其中 n 是树中节点的数量。然而,最坏情况下,当二叉查找树严格退化为链表时,时间复杂度为 O(n)。
操作
查找: 从根节点开始,根据比较大小的规则,递归地在左子树或右子树中查找目标值。
插入: 从根节点开始,递归地在左子树或右子树中找到合适的位置插入新节点。
删除: 删除节点分为三种情况:
- 若节点为叶子节点,直接删除。
- 若节点有一个子节点,将其父节点指向子节点。
- 若节点有两个子节点,找到右子树中的最小节点(或左子树的最大节点),用该节点替代要删除的节点。
例子
考虑以下二叉查找树:
5
/ \
3 7
/ \ / \
2 4 6 8在这个例子中,每个节点都满足二叉查找树的性质,左子树的值小于根节点的值,右子树的值大于根节点的值。
练习
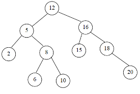
在一棵空的二叉排序树中依次插入关键字序列12, 5, 2, 8, 6, 10, 16, 15, 18, 20。
答案

二叉排序树的平均查找长度

查找成功时的平均查找长度: ASL=∑(本层高度*本层元素结点个数)/结点总数

查找失败时的平均查找长度: ASL=∑(本层高度*本层补上的叶子结点数)/补上的叶子节点总数